植被湍流边界层理论取得突破进展
近日,华东师范大学河口海岸全国重点实验室生态水沙动力学研究团队,在植被湍流边界层理论研究方面取得重要进展。该研究基于自主研发的粒子图像测速与粒子追踪测速(PIV-PTV)耦合超高分辨率测量系统,成功捕捉到植被水流粘性底层内的高精度流速分布特征,提出了适用于植被水流近底区的新流速统一分布律。此外,研究通过引入弥散应力模型对传统混合长度理论进行修正,构建了新的床面切应力预测模型。相关成果以Near-bed velocity law and bed shear stress in vegetated flows为题发表于流体力学领域顶级期刊Journal of Fluid Mechanics,第一作者和通讯作者分别为河口海岸全国重点实验室徐元副研究员和徐凡副研究员,合作作者包括华东师范大学河口海岸全国重点实验室硕士生马思远、何青研究员、北京交通大学陈启刚副教授、中国农业大学钟强教授以及美国麻省理工学院Heidi Nepf教授。
研究背景
水生植被广泛分布于河流、湖泊、海岸带等自然水域,是生态系统的核心组成部分,承担着不可替代的多重生态功能。一方面,植被通过产生的拖曳作用,能够有效减缓水流、削弱波浪与风暴潮;另一方面,其诱导生成的不同尺度湍流,会显著影响泥沙、污染物等物质的输运过程,进而改变泥沙分布格局并塑造三角洲地貌。
在滨海湿地生态系统中,水生植被不仅有助于维持生态稳定、美化环境,还可通过改变水流结构与紊动特性,直接影响地貌演变过程。因此,深入揭示植被对水流结构的作用机制,具有重要的科学与工程意义。以往研究已通过室内实验、数值模拟与野外观测等手段,对植被水流相互作用开展了广泛探讨。其中,近底水动力特征作为水沙运动研究的关键环节,尤其受到关注:由于粘性底层极薄的流速梯度是计算床面切应力的关键依据,而床面切应力又直接影响泥沙的起动与输运,因此该区域的水动力特性成为理解植被影响下河床演变的核心焦点之一。
目前明渠无植被(裸床)水流已被广泛研究,并达到了一定的共识。然而,植被水流与无植被水流的湍流结构存在显著差异,相关研究仍存在诸多空白与争议。具体而言有两大难题:(1)测量分辨率不足:植被水流中粘性底层厚度极薄,对测量的空间分辨率要求极高。传统测量方法例如PIV或声学多普勒流速仪,因分辨率不足无法捕捉粘性底层内的流速分布,导致先前研究缺乏该区域的实测数据,难以精准对比植被与裸床的近底水流结构;(2)裸床水流理论适用范围不确定:经典普朗特混合长度理论的两大重要假设在植被水流中的适用性尚未得到验证,植被的存在均可能导致这些假设失效,因此需建立适用于植被水流的近底流速理论与床面切应力预测模型。
研究方法和结果
团队采用自主研发的基于PIV-PTV系统实现植被水流近底高分辨率流速测量,共进行18组不同工况的高精度水槽试验。实验中首先以20W、波长532nm的连续激光形成1.0mm厚的激光片,照亮近底流向和垂向组成的平面流场区域(图1);选用空心玻璃微珠作为示踪粒子,跟随水流运动;由高速相机通过微距镜头采集粒子运动图像,采样频率400~1000Hz,每组工况采集24000~36000张图像,分辨率最高达到160.8pixel/mm,确保捕捉小尺度湍流细节。采集得到的图像使用PIV-PTV耦合算法进行处理,近底区域流场的垂直分辨率达到△z≈0.02mm。这一分辨率是目前植被水流研究中能达到的最高精度,突破了传统测量方法无法测量粘性底层的技术限制。
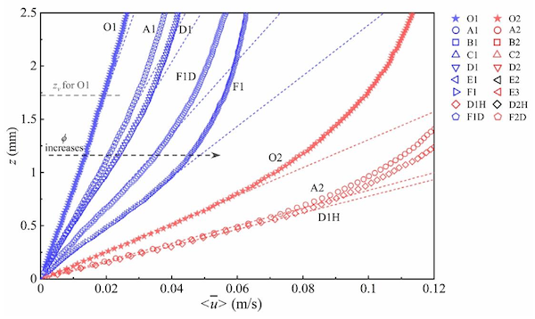
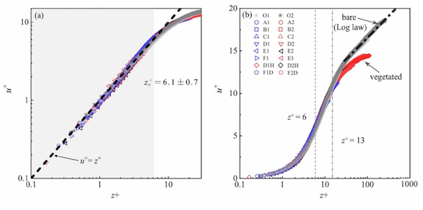
研究发现,植被水流中极近床面区域内流速沿垂向呈线性分布(图2),证明了植被水流中仍存在粘性底层。该无量纲厚度与裸床一致,为6.1±0.7(图3a)。此外,在植被水流中,流速在传统缓冲层范围内便已偏离裸床水流特征(图3b)。根据水流中所主导的应力,本研究建立新的植被水流分层框架,从床面到水面划分成粘性层、多应力Ⅰ层、多应力Ⅱ层和植被阻力层(图4a)。对于普朗克混合长度理论,研究发现在多应力Ⅱ层中弥散应力与雷诺应力量级相当,不可忽略。同时,混合长度不再遵循线性律,而是呈二次方增长关系。因此传统普朗克混合长度理论不适用于植被水流。
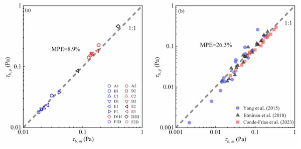
团队针对上述现象,提出弥散应力长度,建立弥散应力长度闭合模型,修正了混合长度理论,使其适用于植被水流。基于修正的混合长度理论,推导建立植被水流近底新流速幂律公式。经本研究及前人研究数据验证,平均误差分别为4.9%和7.8%(图5),精准描述了植被水流边界层内的流速分布规律。基于新流速律及边界层厚度公式,进一步提出了植被水流的床面切应力预测公式,该模型仅需断面平均流速、植被密度和直径等基础参数即可使用。经本研究数据和前人数据验证,平均百分比误差分别达到8.9%和26.3%(图6),为实际工程应用提供高效准确的预测方法。
图1 实验水槽布置示意图。
图2 部分组次近底平均流速剖面和粘性底层内的流速梯度;灰色虚线表示O1组次的粘性底层高度。
图3 所有工况下近底区域的无量纲流速剖面。(a) 黑色虚线表示线性流速律,灰色区域代表粘性底层。(b) 黑色点划线代表经典对数律,植被组次仅展示边界层内的实测数据。
图4 (a) 植被水流新分区;(b) 无植被水流分区
图5 边界层内实测流速与新流速律对比,黑色虚线和灰色虚线分别代表幂律流速和线性律流速。(a)本研究实验数据。(b)前人研究数据。
图6 实测床面切应力与预测床面切应力对比。(a)本研究实测数据。(b)前人研究数据。
文献信息
Xu Y, Ma S, Chen Q, et al. Near-bed velocity law and bed shear stress in vegetated flows. Journal of Fluid Mechanics. 2026;1026:A47. doi:10.1017/jfm.2025.11036
-
Journal of Fluid Mechanics ,
2026 ,
1026
: 11036
