科研进展|无人机主被动遥感数据智能融合,助力不同种类滨海盐沼植被地上生物量高精度反演
近日,华东师范大学河口海岸全国重点实验室谭凯副研究员团队在滨海盐沼植被地上生物量反演方面取得新的研究进展。该研究融合无人机平台多光谱二维影像和激光雷达三维点云数据,充分利用植被指数、纹理、强度和高度等多维度特征,突破不同种类盐沼植被提取、分类以及生物量垂向定量计量等技术瓶颈,创新性地提出了一种基于机器学习的异构遥感数据不同种类盐沼植被地上生物量高精度反演新方法。相关成果以Integrating drone multispectral and LiDAR data with machine learning: Toward species-level biomass estimation in heterogeneous salt marsh vegetation为题,发表于遥感领域国际著名期刊Geo-Spatial Information Science。研究成果第一作者为华东师范大学河口海岸全国重点实验室硕士毕业生刘帅。通讯作者为谭凯副研究员。其他研究成员包括华东师范大学河口海岸全国重点实验室张卫国研究员、田波副研究员、黄颖副研究员、谢卫明副研究员,武汉大学柯涛教授、陶鹏杰副教授,中交第二公路勘察设计研究院有限公司张霄教授级高工、刘亚萍高级研究员,江汉大学讲师刘昆波博士,美国奥本大学姚强副教授。
研究背景
盐沼植被具备强大的碳汇能力,在保护生物多样性、维持全球生态系统平衡及缓解气候变化影响等方面也发挥着不可替代的作用。准确估算盐沼植被地上生物量(Aboveground Biomass,AGB)不仅有助于深入认识碳循环过程、提高海洋碳汇估算精度,也为盐沼生态系统功能和整体状况的评估提供了科学依据。多源异构遥感数据已广泛应用于森林、草地等多种生态系统的AGB估算与动态监测。然而,盐沼湿地潮沟纵横、滩面泥泞、植被密集,加以周期性淹没、物种间差异以及季节性物候变化,使得利用遥感技术估算其AGB的过程更加复杂。
光学影像能够提供植被在多个关键波段的光谱反射信息,并能以此衍生出一系列的特征(如植被指数和纹理特征)。将这些反射率及其衍生特征与实测地上生物量数据建立经验或半经验的统计/物理模型,即可实现AGB估算。然而,光学信号的穿透能力较弱,只能反映植被的上层结构,缺乏垂直方向的结构信息。激光雷达技术(Light Detection and Ranging,LiDAR)可通过多回波探测穿透密集的盐沼植被,同时获取植被叶片、茎秆及地表的几何(即三维坐标)与光谱(即强度)信息。由LiDAR获取的植被高度信息和垂向结构特征是定量表征地上生物量的重要参数,从而能显著提高AGB的估算精度。然而,大多数LiDAR传感器仅在单一波长下工作,单波段光谱信息使其在海量不规则三维点云中精准识别、提取及区分盐沼植被面临技术挑战,从而难以准确估算不同盐沼植物种类的AGB。因此,融合被动多光谱影像和主动LiDAR点云数据,同步获取盐沼植被丰富的光谱信息和精确的三维空间结构信息,构建光谱-几何特征与AGB之间的关联,同步考虑盐沼植被结构及其生物量的水平和垂向分布,是实现盐沼湿地AGB高精度反演的关键解决方案。
研究方法和结果
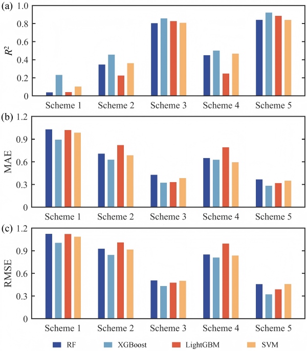
该研究创新性地将无人机多光谱影像和LiDAR点云数据融合,提出一种基于机器学习的不同盐沼植被AGB的估算与空间制图方法。对于无人机LiDAR点云数据,首先基于单点和邻域两个尺度上提取的空间和强度特征进行高精度的点云滤波,然后将滤波后的地面点和非地面点分别投影和栅格化,最后基于栅格化的结果提取多种强度特征(最大值、最小值和均值)和高度特征(数字高程模型、数字表面模型和冠层高度模型)。对于无人机多光谱影像则计算每个像元的多种植被指数和纹理特征,并将其与LiDAR数据的强度和高度特征融合构建多光谱-LiDAR特征集。通过实地采集盐沼植被AGB样本和人工选取的分类样本,分别采用RF、XGBoost、LightGBM和SVM这4种机器学习方法构建盐沼植被分类与AGB估算模型,以表现最优的机器学习模型应用于整个研究区的盐沼植被分类和AGB估算(图1)。以上海市崇明东滩的某一盐沼湿地为研究区(图2),采用实地采集的AGB样本和不同的特征组合方案对结果进行分析和验证。方案1只使用多光谱影像计算的植被指数特征,方案2只使用多光谱影像计算的纹理特征,方案3只使用LiDAR点云获取的强度、高度和地形等特征,方案4使用方案1和2的特征组合,方案5使用方案1、2和3的特征组合,每种方案均采用RF、XGBoost、LightGBM和SVM进行分类和AGB反演实验。结果表明:(1)不同机器学习模型在盐沼植被AGB估算结果上的差异不显著,其中XGBoost算法表现最佳(R2=0.9207,MAE=0.2835 kg/m2,RMSE=0.3229 kg/m2)(图3和图4);(2)特征与数据类型对AGB估算精度具有显著影响,其中高度特征与纹理特征的重要性高于强度特征与植被指数,且LiDAR数据的表现优于多光谱数据(图5);(3)不同物种与自然环境下的AGB差异显著,其中互花米草对土壤水分和养分变化更为敏感,而芦苇即使在不利环境下仍能维持较高的AGB水平(图6)。本研究提出的方法为盐沼AGB估算提供了一种可行且高效的替代策略,并在定量表征盐沼植被生态过程方面展现出良好的应用潜力。根据上海市海洋监测预报中心发布的第30期海洋状况报告,2021年上海市的米草和芦苇面积分别为15162.74 ha和7327.16 ha,结合本研究计算的互花米草和芦苇的平均单位面积AGB,可近似估算上海市互花米草的地上碳储量为0.290 Mt C,芦苇的地上碳储量为0.228 Mt C。
图1. 研究技术路线
图2. 研究区域和分类样本
图3. 不同特征组合方案AGB机器学习反演精度
图4. 不同特征组合方案AGB机器学习制图分析
图5. XGBoost模型在盐沼湿地分类和AGB反演中的特征重要性排序
图6. 互花米草和芦苇的AGB空间分布
研究资助
研究得到国家自然科学基金(42171425,42471473),上海市科学技术委员会(23590780200,25TS1404600),重庆市自然科学基金(CSTB2022NSCQ-MSX1254),国家重点研发(2024YFF0808803)的支持。
文章信息
Shuai Liu, Yaping Liu, Xiao Zhang, Bo Tian, Weiguo Zhang, Ying Huang, Weiming Xie, Tao Ke, Kunbo Liu, Pengjie Tao, Qiang Yao and Kai Tan#. Integrating drone multispectral and LiDAR data with machine learning: Toward species-level biomass estimation in heterogeneous salt marsh vegetation. Geo-Spatial Information Science. 2025. DOI: 10.1080/10095020.2025.2574921
-
Geo-Spatial Information Science ,
2025 ,
:
